Name:
Adduct:
Polarity:
Z:
m/z:
±:
CCS: Å2
±: %
SMI:
Type:

Make a CSV file containing information about your queries.
Then upload the CSV file below and click on "Make Queries" to view the results online
and click "Download Results" to download the entire results in one excel file.
An example of the CSV file can be found below

Download Example CSV


**Make sure the header column names are as follows**

...



Upload a CSV file

1
May, J. C. et al. Conformational Ordering of Biomolecules in the Gas Phase: Nitrogen Collision Cross Sections Measured on a Prototype High Resolution Drift Tube Ion Mobility-Mass Spectrometer. Anal. Chem. 86, 2107–2116 (2014).


2
Paglia, G. et al. Ion Mobility Derived Collision Cross Sections to Support Metabolomics Applications. Anal. Chem. 86, 3985–3993 (2014).


3
Groessl, M., Graf, S. & Knochenmuss, R. High resolution ion mobility-mass spectrometry for separation and identification of isomeric lipids. Analyst 140, 6904–6911 (2015).


4
Zhou, Z., Shen, X., Tu, J. & Zhu, Z.-J. Large-Scale Prediction of Collision Cross-Section Values for Metabolites in Ion Mobility-Mass Spectrometry. Anal. Chem. 88, 11084–11091 (2016).


5
Hines, K. M., Herron, J. & Xu, L. Assessment of altered lipid homeostasis by HILIC-ion mobility-mass spectrometry-based lipidomics. The Journal of Lipid Research 58, 809–819 (2017).


6
Bijlsma, L. et al. Prediction of Collision Cross-Section Values for Small Molecules: Application to Pesticide Residue Analysis. Anal. Chem. 89, 6583–6589 (2017).


7
Hines, K. M., Ross, D. H., Davidson, K. L., Bush, M. F. & Xu, L. Large-Scale Structural Characterization of Drug and Drug-Like Compounds by High-Throughput Ion Mobility-Mass Spectrometry. Anal. Chem. 89, 9023–9030 (2017).


8
Stow, S. M. et al. An Interlaboratory Evaluation of Drift Tube Ion Mobility–Mass Spectrometry Collision Cross Section Measurements. Anal. Chem. 89, 9048–9055 (2017).


9
Zhou, Z., Tu, J., Xiong, X., Shen, X. & Zhu, Z.-J. LipidCCS: Prediction of Collision Cross-Section Values for Lipids with High Precision To Support Ion Mobility–Mass Spectrometry-Based Lipidomics. Anal. Chem. 89, 9559–9566 (2017).


10
Zheng, X. et al. A structural examination and collision cross section database for over 500 metabolites and xenobiotics using drift tube ion mobility spectrometry. Chem. Sci. 8, 7724–7736 (2017).


11
Hines, K. M. et al. Characterization of the Mechanisms of Daptomycin Resistance among Gram-Positive Bacterial Pathogens by Multidimensional Lipidomics. mSphere 2, 99–16 (2017).


12
Lian, R. et al. Ion mobility derived collision cross section as an additional measure to support the rapid analysis of abused drugs and toxic compounds using electrospray ion mobility time-of-flight mass spectrometry. Anal. Methods 10, 749–756 (2018).


13
Mollerup, C. B., Mardal, M., Dalsgaard, P. W., Linnet, K. & Barron, L. P. Prediction of collision cross section and retention time for broad scope screening in gradient reversed-phase liquid chromatography-ion mobility-high resolution accurate mass spectrometry. Journal of Chromatography A 1542, 82–88 (2018).


14
Righetti, L. et al. Ion mobility-derived collision cross section database: Application to mycotoxin analysis. Analytica Chimica Acta 1014, 50–57 (2018).


15
Tejada-Casado, C. et al. Collision cross section (CCS) as a complementary parameter to characterize human and veterinary drugs. Analytica Chimica Acta 1043, 52–63 (2018).


16
Nichols, C. M. et al. Untargeted Molecular Discovery in Primary Metabolism: Collision Cross Section as a Molecular Descriptor in Ion Mobility-Mass Spectrometry. Anal. Chem. 90, 14484–14492 (2018).


17
Hines, K. M. & Xu, L. Lipidomic consequences of phospholipid synthesis defects in Escherichia coli revealed by HILIC-ion mobility-mass spectrometry. Chemistry and Physics of Lipids 219, 15–22 (2019).


18
Leaptrot, K. L., May, J. C., Dodds, J. N. & McLean, J. A. Ion mobility conformational lipid atlas for high confidence lipidomics. Nature Communications 1–9 (2019).


19
Blaženović, I. et al. Increasing Compound Identification Rates in Untargeted Lipidomics Research with Liquid Chromatography Drift Time–Ion Mobility Mass Spectrometry. Anal. Chem. 90, 10758–10764 (2018).


20
Tsugawa, H. et al. MS-DIAL 4: accelerating lipidomics using an MS/MS, CCS, and retention time atlas. bioRxiv 37, 513 (2020).


21
Poland, J. C. et al. Collision Cross Section Conformational Analyses of Bile Acids via Ion Mobility–Mass Spectrometry. Journal of the American Society for Mass Spectrometry 31, 1625–1631 (2020).


22
Dodds, J. et al. Rapid Characterization of Per- and Polyfluoroalkyl Substances (PFAS) by Ion Mobility Spectrometry−Mass Spectrometry (IMS-MS). Anal. Chem. 92, 4427-4435 (2020).


23
Celma, A. et al. Improving Target and Suspect Screening High-Resolution Mass Spectrometry Workflows in Environmental Analysis by Ion Mobility Separation. Environ. Sci. Technol. 54, 15120-15131 (2020)


24
Belova, L. et al. Ion Mobility-High-Resolution Mass Spectrometry (IM-HRMS) for the Analysis of Contaminants of Emerging Concern (CECs): Database Compilation and Application to Urine Samples. Anal. Chem. XXX, XXXX-XXXX (2021)


25
Ross, D. H., et al. High-Throughput Measurement and Machine Learning-Based Prediction of Collision Cross Sections for Drugs and Drug Metabolites. J Am Soc Mass Spectr 33, 1061–1072 (2022).


26
EH Palm, J Engelhardt, S Tshepelevitsh, J Weiss, A Kruve (2024) J Am Soc Mass Spectrom DOI:10.1021/jasms.4c00035


27
Baker, E. S. et al. METLIN-CCS Lipid Database: An authentic standards resource for lipid classification and identification Nat. Metab. 6, 981-982 (2024).


28
HB Muller, G Scholl, J Far, E de Pauw, G Eppe (2023) Anal Chem 95(48): 17586-17594


29
Coming Soon...


ID Name Adduct Structure m/z CCS SMI Type Z Ref CCS Type CCS method
CCSBASE_B958460EDE 8-iso-15R-Prostaglandin F2 alpha [M+Na]+ 377.2298294 200.7666667 CCCCC[C@@H](/C=C/[C@H]1[C@@H](C[C@@H]([C@H]1C/C=C\CCCC(=O)O)O)O)O Lipids and lipid-like molecules 1 10 DT stepped-field
CCSBASE_2B1CC53E4B Halosulfuron-methyl [M+Na]+ 457.030361 201.4101856 CN1C(=C(C(=N1)Cl)C(=O)OC)S(=O)(=O)NC(=O)NC2=NC(=CC(=N2)OC)OC Organoheterocyclic compounds 1 10 DT stepped-field
CCSBASE_DB49CF3C9D 2-Methoxyestrone [M+Na]+ 323.1617534 201.7117981 C[C@]12CC[C@H]3[C@H]([C@@H]1CCC2=O)CCC4=CC(=C(C=C34)OC)O Lipids and lipid-like molecules 1 10 DT stepped-field
CCSBASE_772F27A060 Thromboxane B2 [M+Na]+ 393.2240804 202.0804358 CCCCC[C@@H](/C=C/[C@@H]1[C@H]([C@H](CC(O1)O)O)C/C=C\CCCC(=O)O)O Lipids and lipid-like molecules 1 10 DT stepped-field
CCSBASE_3DB276D21E Prostaglandin H2 [M+Na]+ 375.2147322 202.6333333 CCCCC[C@@H](/C=C/[C@H]1[C@H]2C[C@@H]([C@@H]1C/C=C\CCCC(=O)O)OO2)O Lipids and lipid-like molecules 1 10 DT stepped-field
CCSBASE_359CC18BEE Melezitose [M+Na]+ 527.1582452 203.2333333 C([C@@H]1[C@H]([C@@H]([C@H]([C@H](O1)O[C@H]2[C@@H]([C@H](O[C@@]2(CO)O[C@@H]3[C@@H]([C@H]([C@@H]([C@H](O3)CO)O)O)O)CO)O)O)O)O)O Organic oxygen compounds 1 10 DT stepped-field
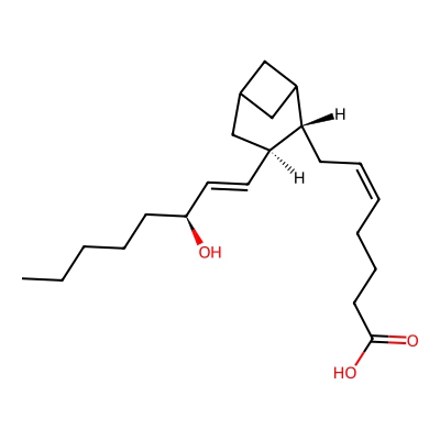
CCSBASE_39B3F4A752 Carbocyclic Thromboxane A2 [M+Na]+ 371.2556486 203.6 CCCCC[C@@H](/C=C/[C@H]1CC2CC(C2)[C@@H]1C/C=C\CCCC(=O)O)O Lipids and lipid-like molecules 1 10 DT stepped-field
CCSBASE_DCDAC4BE94 Aldosterone [M+Na]+ 383.1828818 204.0911864 C[C@]12CCC(=O)C=C1CC[C@@H]3[C@@H]2[C@H](C[C@]4([C@H]3CC[C@@H]4C(=O)CO)C=O)O Lipids and lipid-like molecules 1 10 DT stepped-field
CCSBASE_528D027517 6-Ketoprostaglandin F1 alpha [M+Na]+ 393.2252964 204.1666667 CCCCC[C@@H](/C=C/[C@H]1[C@@H](C[C@@H]([C@@H]1CC(=O)CCCCC(=O)O)O)O)O Lipids and lipid-like molecules 1 10 DT stepped-field
CCSBASE_51E7757F36 B-Cortol [M+Na]+ 391.2454786 204.593874 C[C@]12CC[C@H](C[C@H]1CC[C@@H]3[C@@H]2[C@H](C[C@]4([C@H]3CC[C@@]4([C@@H](CO)O)O)C)O)O Lipids and lipid-like molecules 1 10 DT stepped-field
1 2 ... 449 450 451 452 453 454 455 ... 2315 2316